par Angelo Laplace, Hédi Abderrahim
La recension du livre que nous vous proposons est suivie dans le post-scriptum par une interview de l’un de ses premiers utilisateurs dans le cadre de son enseignement dans un collège.
Dans la même collection : recension de « Bouge tes neurones »
Editeur : LE POMMIER
Collection : MATH’ ATTAK !
Rayon : Documentaire / Documentaire 9-13 ans
Date de sortie : le 12/06/2015
ISBN : 978-2-7465-0922-1
Public concerné : Enfants à partir de 9 ans
L’auteur :
Kjartan Poskitt est né en 1956, en Angleterre. Il est l’auteur d’une vingtaine d’ouvrages pour la jeunesse. Scénariste, il est aussi présentateur d’une émission de vulgarisation scientifique à la télévision. Il est connu dans le monde anglo-saxon pour sa célèbre série The Murderous Maths qui compte plus de 15 titres.
L’ouvrage :
Dans cet ouvrage, l’auteur propose une large gamme d‘astuces et de tours à partager avec des partenaires dès l’âge de 9 ans au cours de défis très constructifs. Précisons-le d’emblée, nous avons opté pour une présentation adressée à des lecteurs qui n’ont pas cet âge ni ce niveau de mathématiques. C’est ainsi que nous espérons que plein de jeunes lecteurs pourront profiter par ricochet de carrés magiques, de tours de cartes, de dominos, de pièces, de dés. Les activités mathématiques s’attachent à faire deviner des nombres dans des suites logiques, à trouver rapidement le résultat d’une multiplication par 11 ou la somme de 20 nombres qui figurent dans un rectangle (5 $\times$ 4) pris sur un calendrier qui affiche un mois entier, à prédire la somme de cinq nombres de 5 chiffres dès que l’on prend connaissance du premier... Le lecteur découvrira aussi comment ordonner une série de 12 cartes désordonnées et bien d’autres tours encore…
Cet article, présenté sous forme de blocs dépliables, est un compte rendu du livre : « C’EST MATH’GIC ! »
Plus fort qu’une calculatrice
Tour 1 : Le tour du 7, 11 et 13
Situation
Donne une calculatrice à un ami, demande-lui d’afficher un nombre de 3 chiffres de son choix et de te le montrer.
Dis-lui ensuite de taper : $\times$ 7 $\times$ 11 $\times$ 13 puis annonce-lui le résultat avant qu’il termine de taper ces multiplications !
Le résultat sera le nombre de 6 chiffres obtenu en écrivant le premier nombre de 3 chiffres (choisi par ton ami) 2 fois successives.
Exemple : si ton ami a choisi 271 comme nombre de départ alors après les multiplications, il obtiendra 271 271.
Justification
Désignons par c, d et u les chiffres respectifs des centaines, dizaines et unités du nombre de départ. Il s’écrira donc cdu (en base 10). D’autre part, on a : 7 $\times$ 11 $\times$ 13 = 1 001.
Alors cdu $\times$ 7 $\times$ 11 $\times$ 13 = cdu $\times$ 1 001 = cdu $\times$ (1 000 +1) = cdu 000 + cdu = cdu cdu (en base 10).
Dans le même esprit
Tour 2 : Multiplier un nombre de 2 chiffres par 3 $\times$ 7 $\times$ 13 $\times$ 37.
Tour 3 : Multiplier un nombre de 1 chiffre par 3 $\times$ 37.
Tour 4 : Multiplier un nombre de 2 chiffres par 3 $\times$ 7 $\times$ 11 $\times$ 13 $\times$ 37.
Essayer de prédire le résultat dans chacun des trois cas ci-dessus.
Tour 5 : La course du calendrier
Trouve un calendrier qui affiche un mois entier par page. Trace un rectangle qui délimite un bloc de 20 nombres (5 $\times$ 4). Donne à un ami une calculatrice et demande-lui de te faire la somme de ces 20 nombres.
Pour le surprendre, tu peux lui proposer le résultat alors qu’il vient à peine de commencer ses additions !
Le résultat sera 10 fois la somme des 2 nombres inscrits dans les 2 cases extrémités de la diagonale principale (encerclés en vert).
Exemple :
dans le cas du calendrier ci-contre, la somme des 20 nombres encadrés par le rectangle orangé est : 10 $\times$ (2 + 27) = 290.
Justification
Proposition :
Désignons par $j_1$ la date inscrite dans la première case (en haut à gauche) du rectangle et par $j_{20}$ la date inscrite dans la vingtième case (en bas à droite) du rectangle. Les autres dates peuvent être exprimées ainsi :
| $j_1$ | $j_1 + 1$ | $j_1 + 2$ | $j_1 + 3$ | $j_1 + 4$ |
| $j_1 + 7$ | $j_1 + 8$ | $j_1 + 9$ | $j_1 + 10$ | $j_1 + 11$ |
| $j_{20} - 11$ | $j_{20} - 10$ | $j_{20} - 9$ | $j_{20} - 8$ | $j_{20} - 7$ |
| $j_{20} - 4$ | $j_{20} - 3$ | $j_{20} - 2$ | $j_{20} - 1$ | $j_{20}$ |
La somme est alors :
$S = (j_1 + j_{20}) + (j_1 + 1 + j_{20} - 1) + (j_1 + 2 + j_{20} - 2) + .... + (j_1 + 10 + j_{20} - 10) + (j_1 + 11 + j_{20} - 11)$
Et donc : $S= 10 (j_1 + j_{20}).$
Remarque :
On peut remarquer et montrer en s’inspirant de la proposition ci-dessus que la somme cherchée est aussi 10 fois la somme des deux nombres inscrits dans les deux cases extrémités de la deuxième diagonale (nombres encerclés en rouge) : 10 $\times$ (6 + 23) = 290.
Tour 6 : Le chiffre manquant
Demande à un ami de :
– faire afficher sur l’écran de sa calculatrice un nombre de 4 chiffres tels qu’aucun d’eux ne soit nul et qu’ils ne soient pas tous égaux à 1 (le nombre est différent de 1111) ;
– multiplier ce nombre par 9 et d’afficher le résultat sans te le montrer ;
– lire à haute voix les quatre premiers chiffres du produit obtenu (qui sera toujours un nombre de 5 chiffres).
Maintenant c’est à toi de le stupéfier en lui annonçant le dernier chiffre (celui qu’il n’a pas lu) !
Justification :
Le produit étant un multiple de 9 alors la somme de ses chiffres sera divisible par 9. Il te faut alors :
– faire mentalement et rapidement la somme des quatre chiffres lus par ton ami, désignons la par S ;
– déterminer le plus petit multiple de 9 supérieur ou égal à la somme que tu as trouvée, désignons le par M ;
– le chiffre manquant sera : M - S.
Exemple :
Ton ami a choisi le nombre 5 268 alors le produit est 5 268 $\times$ 9 = 47 412.
Alors S = 4 + 7 + 4 + 1 = 16 donc M = 18 et ainsi le chiffre manquant est 18 − 16 = 2.
Commentaire :
On peut laisser au partenaire la liberté de choisir quatre chiffres quelconques du produit au lieu de se limiter aux quatre premiers : ça ne changera rien à la suite du jeu !
Tour 7 : La prédiction du siècle
Ce tour, que l’auteur qualifie d’incroyable, consiste à :
– dessiner une grille identique à celle qui est ci-dessous :
– faire passer l’un des spectateurs sur scène ;
– lui demander de remplir la troisième ligne en inscrivant dans chacune de ses 5 cases un chiffre de son choix afin d’avoir un nombre de 5 chiffres.
– Puis à écrire ensuite un nombre sur un morceau de papier que tu donnes à un autre spectateur qui s’engage à ne le montrer à personne.
– Revenir au spectateur qui est sur scène, et lui demander de remplir la première et la deuxième ligne avec deux nombres de 5 chiffres de son choix.
– Prendre la relève et remplir la quatrième et la cinquième ligne avec deux nombres de 5 chiffres aussi.
– Donner une calculatrice à ce spectateur et lui demander de faire la somme des 5 nombres écrits sur la grille puis écrire le résultat sur la sixème ligne (un chiffre par case).
– Demander au spectateur qui a le morceau de papier d’exposer au public le nombre que tu as écrit dessus.
Le public stupéfait découvrira que ce nombre est égal à la somme écrite sur la sixième ligne : il t’applaudira chaleureusement car tu es capable de prédire la somme de 5 nombres avant même de terminer de les écrire et sans utiliser une calculatrice !
L’astuce :
Il y a deux moments clés :
1) Le nombre écrit sur le morceau de papier est obtenu à partir du premier écrit sur la grille en diminuant son chiffre des unités de 2 et en conservant ses autres chiffres sans oublier de les faire précéder par un 2 (ce sera un nombre de 6 chiffres).
Exemple :
On désigne par $N_3$, le nombre de la troisième ligne et par $S_p$ le résultat prédit.
Si $N_3$ = 58 173 alors $S_p$ = 258 171.
2) On désigne par $N_1$ et $N_2$ les nombres écrits par le spectateur respectivement sur la première et la deuxième ligne. Lorsque tu prends la relève pour écrire le quatrième et le cinquième nombre que nous désignerons respectivement par $N_4$ et $N_5$, tu dois les choisir de manière à ce que chacun des chiffres de $N_4$ soit égal à 9 diminué du chiffre de même rang dans $N_2$ et que chacun des chiffres de $N_5$ soit égal à 9 diminué du chiffre de même rang dans $N_1$.
On doit donc toujours avoir : $N_1 + N_5 = 99 999$ et $N_2 +N_4 = 99 999$.
Exemple :
Si le spectateur sur scène a écrit 25 938 sur la première ligne (c’est $N_1$), tu écriras 74 061 sur la cinquième ligne (c’est $N_5$). S’il a écrit 39 174 sur la deuxième ligne (c’est $N_2$), tu écriras 60 825 sur la quatrième ligne (c’est $N_4$).
Justification :
Soit S la somme de ces cinq nombres et $N_3 = nm cdu$ dans la base 10. Alors :
$S = N_1 +N_2 + N_3 +N_4 +N_5 = N_3 + (N_1 + N_5) + (N_2 + N_4) = N_3 + 2 \times 99 999 = N_3 + 2 \times (100 000 - 1)$.
Soit $S = N_3 + (200 000 - 2)$.
Commentaire :
En haut de la page 22, on lit : ‘’Demande à Daz d’inscrire cinq chiffres de son choix sur la troisième ligne…’’ : cela sous-entend que Daz peut choisir 0 (zéro) ou 1 comme chiffre des unités.
A la page 25, et dans le cadre de la démystification , il est écrit : ‘’Prends le nombre inscrit dans la grille, rajoute un deux devant et soustrais deux au dernier chiffre…’’
Cela sous-entend que le dernier chiffre (le chiffre des unités) doit être supérieur ou égal à 2 sinon on sera obligé de s’emprunter 1 du chiffre de dizaine qui lui aussi doit alors être supérieur ou égal à 1 ; et la boucle continuera et la méthode décrite ne sera pas applicable. Pour éviter cette situation qui complique le jeu, on pourrait avertir et exiger que le dernier chiffre soit supérieur ou égal à 2.
Jouer :
Voici un autre fichier GeoGebra utilisant des curseurs :
Tour 8 : La plaquette de chocolat empoisonnée
Deux personnes partagent une plaquette dont un carré est empoisonné. Elles décident alors de manger chacune, à leur tour, un morceau de chocolat qui peut être petit ou gros mais la cassure doit se faire suivant les lignes. Evidemment, le jeu consiste à laisser à l’autre joueur le carré est empoisonné.
Stratégie gagnante :
- Situation 1 : le carré qui est empoisonné n’est pas sur l’un des bords du morceau
Quand c’est ton tour, essaye de laisser à ton partenaire un morceau de chocolat où le carré empoisonné occupe le centre.
Illustration avec le logiciel GeoGebra sur une plaquette de 8×7 carreaux. Pour télécharger le fichier :
- Situation 2 : le carré qui est empoisonné est sur l’un des bords du morceau
Quand c’est ton tour, essaye de laisser à ton partenaire un morceau de chocolat sous forme d’un carré dont l’un des coins est occupé par le carré empoisonné.
Illustration à télécharger avec le logiciel GeoGebra sur une plaquette de 5×7 carreaux :
Commentaire :
Comme le signale l’auteur, vous n’avez pas besoin d’une plaquette de chocolat empoisonnée : vous pouvez la remplacer par un papier quadrillé.
Pense à un nombre
Dans cette rubrique, l’auteur propose quelques tours où le maître du jeu demande à son partenaire de penser à un nombre puis il lui demande de s’en servir dans quelques opérations pour finir par deviner le résultat de ces calculs.
Tour 1 : Le score secret
On demande à un partenaire de penser à un nombre (secret) entre 1 et 12 ou alors de lancer deux dés et garder le résultat secret. Ensuite, on fait faire au partenaire, la suite d’opérations suivante :
- Ajouter 1 au score des dés ;
- multiplier le résultat par 2 ;
- enlever trois au résultat obtenu ;
- enfin multiplier par 5.
Le partenaire doit annoncer à haute voix le nombre final obtenu. Il est alors facile de retrouver le résultat du lancer de dés. Il suffit d’occulter le chiffre des unités du résultat annoncé (qui est un 5) et d’ajouter 1 au nombre formé par les autres chiffres. Par exemple, si on t’annonce 35 alors le résultat du lancer de dés était 4. Hyper facile !
Voici une copie d’écran d’une mise en œuvre de ce tour avec Scratch. Tu peux ainsi jouer le rôle du magicien contre l’ordinateur.
Et pour essayer en live, c’est ici :
https://scratch.mit.edu/projects/97...
Tour 2 : Pense à deux nombres
Voilà ce que Pongo demande à Véronica qui refuse de lui dire son âge et son poids :
- Tape 13.
- Multiplie par ton poids en kg.
- Enlève 13.
- Multiplie par 7.
- Enlève 10.
- Ajoute ton âge.
- Multiplie par 11.
- Soustrais ton poids.
- Soustrais ton âge.
- Ajoute 101.
- Donne le résultat.
Véronica a répondu : 54 160. Pongo, tout joyeux, dit alors tu as 17 ans et tu pèses 55 kilos. Véronica confirme, mais elle veut bien savoir comment Pongo est arrivé à découvrir ces données confidentielles à partir du résultat 54 160 ?
Explication :
- Pongo ignore le chiffre des unités ;
- Au nombre formé des chiffres de dizaines et celui des centaines, il ajoute 1 pour obtenir l’âge ;
- Au nombre formé des chiffres des unités des mille et celui des dizaines des mille, il ajoute 1 pour obtenir le poids.
Justification :
Désignons respectivement l’âge et le poids de Véronica par $a$ et $p$.
D’où : $A =[ ({{13 \times p} - 13) \times 7}- 10 + a] \times 11 - p - a + 101 = 7 \times 11 \times 13 \times p - 7 \times 11 \times 13 - 110 + 11 \times a - p - a + 101.$
Soit $A = 1 000p - 1 010 + 10a$.
Puis $A = 1 000p - 1 000 + 10a - 10 = 1 000(p - 1) + 10(a - 1) = 10[100(p - 1) + (a - 1)]. $
Le fait d’ignorer le zéro de droite du résultat nous mène à : $100(p - 1) + (a - 1)$.
Désignons par $du$ et $d’u’$ les écritures respectives de $(a - 1)$ et $(p - 1)$ dans la base 10 ($d$ ou $d’$ peut être nul et on a supposé $a$ et $p$ inférieurs ou égaux à 100.)
Alors $100(p - 1) + (a - 1) = d’ u’00 + du = d’ u’du$.
D’où l’idée de Pongo pur découvrir l’âge et le poids de Véronica.
Commentaire :
- Si le deuxième nombre est inférieur ou égal à 10, le troisième chiffre à partir de la droite sera zéro et par suite le deuxième nombre sera la somme du deuxième chiffre du résultat et 1.
- Si le deuxième nombre est supérieur ou égal à 101, cet algorithme ne sera plus valable car son quatrième chiffre à partir de la droite sera le chiffre des unités de (c + d’) où c est le chiffre des centaines du deuxième nombre.
- Si le premier nombre est supérieur ou égal à 101, le résultat sera un nombre de 6 chiffres et le premier nombre sera la somme de 1 et du nombre formé par les trois premiers chiffres à partir de la gauche.
Voici une utilisation de scratch pour réaliser ce tour :
Carrés magiques
Tour 1 : Carrés d’ordre 3 tout prêts
Se servant d’un carré magique normal d’ordre 3 exposé dans son bureau, le mathémagicien confectionne deux autres carrés magiques de même ordre : l’un est obtenu en retranchant 1 de chaque case du carré exposé et l’autre en ajoutant 2 au contenu de chaque case du carré exposé.
- Carré magique normal d’ordre 3 de constante magique 15.
C’est le carré magique exposé dans le bureau du mathémagicien.
- Carré magique d’ordre 3 de constante magique 12.
- Carré magique d’ordre 3 de constante magique 21.
Commentaires :
- Soit $S_T$ la somme de tous les nombres écrits dans un carré magique d’ordre 3 et $S$ la somme de tous les nombres écrits dans une ligne (colonne et diagonale) de ce même carré alors on a :
La somme $S$ est aussi appelée la constante magique ou densité du tableau.
- Les neuf nombres utilisés dans un tel tableau étant des entiers consécutifs, on peut les considérer comme étant les 9 premiers termes d’une suite arithmétique $u$ de raison 1. Si $u_1$ est le plus petit parmi ces termes on aura :
et alors
- Le nombre qui occupe le centre du carré sera la moyenne du plus petit et plus grand termes de la suite : c’est $u_5$ et on aura :
Les équations (1), (2), (3) et (4) sont des outils qui peuvent aider à remplir un tableau magique à partir de certaines données.
- Dans le cas d’un carré magique normal (les 9 nombres utilisés sont des entiers consécutifs de 1 à n), on aura :
Ainsi le carré obtenu en retranchant 1 de chaque case du carré exposé est celui qui a la plus petite densité (sinon, on sera obligé d’utiliser des entiers négatifs).
Tour 2 : Exemples de carrés magiques d’ordre 5
Le mathémagicien en a un dans son bureau : c’est un carré normal alors sa densité sera : $S = \frac{(1 + 25) \times 25}{2 \times 5} = 65$.
Le nombre qui occupe la cellule centrale est : $u_{13} = \frac{u_1 + u_{25}}{2} = \frac{1 + 25}{2} = 13$.
La somme $S$ est aussi obtenue en additionnant les quatre coins et la cellule centrale.
Construction du carré magique :
- Etape 1 : On dessine un tableau carré 5×5 (en vert) auquel on ajoute une colonne de 4 cases du côté droit et on le chapeaute par une ligne de 4 cases (en marron) (voir le dessin ci-dessous).
N.B : La ligne et la colonne tracée en marron sont en dehors du tableau.
- Etape 2 : On place le 1 dans la troisième case de la première ligne du tableau.
- Etape 3 : On se déplace en diagonale vers le haut en écrivant dans chaque case atteinte l’entier qui succède au dernier nombre écrit.
- Etape 4 : Au bout du déplacement, si on se trouve sur :
– un carré de la colonne en dehors du tableau, on réécrit le nombre qui s’y trouve dans la cellule intersection de la même ligne avec la première colonne et on reprend l’étape 3.
– un carré de la ligne en dehors du tableau, on réécrit le nombre qui s’y trouve dans la cellule intersection de la même colonne avec la cinquième ligne du tableau et on reprend l’étape 3.
– un carré du tableau qui est déjà rempli, on reprend l’étape 3 à partir de la cellule qui se trouve juste en dessous de celle qu’on vient de remplir.
Commentaire :
- La description par l’auteur de la méthode de la disposition des nombres dans le tableau est difficile à suivre c’est ce qui nous a poussé à l’exprimer comme ci-dessus et à l’enrichir par un dessin illustratif.
- A la page 52 et à la fin de la deuxième et au début de la troisième ligne en dessous du tableau, on lit : ‘’ Mets ton 6 sous le 1 et …’’ alors que ça devrait être : ‘’ Mets ton 6 sous le 5 et …’’
Tour 3 : Exemple de carrés magiques d’ordre 4
L’exemple proposé par l’auteur est un carré normal (tableau ci-dessous.)
Sa densité sera alors :
$S = \frac{(1 + 16) \times 16}{2 \times 4} = 34$.
La somme S est aussi obtenue en additionnant les quatre coins du tableau.
L’auteur cite certaines des propriétés de ce tableau, entre autres :
- ce tableau peut être exploité pour écrire sa somme magique 34, de 24 façons, comme somme de 4 nombres pris parmi les entiers de 1 à 16 ;
- ce tableau peut être utilisé pour écrire d’autres carrés magiques de somme magique donnée : il suffit de rectifier les quatre nombres placés dans les cellules grisées du tableau ci-dessus.
– Exemple 1 : pour avoir un carré de densité 41, il suffit d’ajouter 7 (41 – 34 = 7) à chacun de ces quatre nombres et de garder les autres cellules telles qu’elles sont.
– Exemple 2 : pour avoir un carré de densité 23, il suffit de retrancher 11 (34 - 23 = 11) de chacun de ces quatre nombres et de garder les autres cellules telles qu’elles sont.
Tour 4 : Le calendrier magique
- Trouve un calendrier qui affiche un mois entier par page.
- Demande à un ami de tracer un carré qui délimite un bloc de 9 nombres (3 $\times$ 3).
- Écris une prédiction sur un bout de papier que tu donnes à cet ami qui le mettra dans sa poche sans la lire.
- Demande à cet ami d’encercler un nombre de son choix à l’intérieur du carré encadré puis de barrer les nombres de ce carré qui se trouvent sur la même ligne et ceux qui se trouvent sur la même colonne que le nombre encerclé.
- Demande à cet ami d’itérer l’étape précédente encore deux fois : seuls les trois nombres encerclés ne sont pas barrés.
- Demande-lui de calculer leur somme puis de lire ce que tu as écrit sur le bout de papier.
- Stupéfait, il te demandera : comment l’as-tu su ? (Il vient de lire la somme qu’il a obtenue, alors que toi, tu as écrit le triple du nombre qui se trouve au centre du carré !)
Justification :
Voici un exemple de carré de 9 nombres pris d’un calendrier d’un mois quelconque où $j_k$ désigne le premier jour du carré encadré.
| $j_k$ | $j_{k} + 1$ | $j_{k} + 2$ |
| $j_{k} + 7$ | $j_{k} + 8$ | $j_{k} + 9$ |
| $j_{k} + 14$ | $j_{k} + 15$ | $j_{k} + 16$ |
On vérifie que la case centrale $(j_{k}+8)$ est un "centre de symétrie" pour le carré
et que la somme du contenu de trois quelconques des cases issues de lignes et de colonnes distinctes dans ce carré est $S=3j_k+24=3(j_k+8)$
Il en découle que même si on change de choix pour les trois nombres encerclés sur ce carré, la somme restera constante !
Dans le même esprit, dans la suite, l’auteur reprend le même tour mais en encadrant sur le calendrier un carré de 16 jours ($4 \times 4$).
La mathémagie des cartes
Dans cette rubrique, l’auteur présente des tours qui se font avec des cartes.
Tour 1 : L’alignement
Situation de départ :
Le maître du jeu dispose dans l’une de ses mains d’une pile de six cartes de même couleur. Ces cartes sont agencées dans l’ordre suivant : du bas vers le haut, on trouve : l’as, le 4, le 2, le 5, le 6 puis le 3 de dessus vers le dessous et faces cachées. Il annonce qu’il est capable de remettre ces cartes dans l’ordre sans les regarder : rien qu’en comptant, il passe à la démonstration :
- Il dit 1 et retourne la 1ère carte : c’est l’as !
- Il compte :
– 1 et place la carte de dessus du paquet en dessous.
– 2 et retourne la carte de dessus du paquet : c’est le deux ! - Il compte :
– 1 et place la carte de dessus du paquet en dessous.
– 2 et place la carte de dessus du paquet en dessous.
– 3 et retourne la carte de dessus du paquet : c’est le trois ! - Il compte de la même façon jusqu’à 4 pour faire sortir le quatre, puis jusqu’à 5 pour faire sortir le cinq, puis jusqu’à 6 pour faire sortir le six.
Commentaires :
En réalité, dès le décachetage de la carte qui porte le n° 3, les autres cartes sont aussi dans le bon ordre : 4, 5 puis 6 et on n’avait pas besoin de continuer à compter et …, mais puisque c’est un jeu, un peu de poivre en plus ça lui donnera un autre goût !
Dans le même esprit :
L’auteur signale que le même tour peut être repris avec dix cartes, au départ rangées comme suit : l’as, le 8, le 2, le 9, le 7, le 3, le 10, le 5, le 6 puis le 4.
Tour 2 : Les cartes brouillées
Là aussi, le maître du jeu dispose d’une pile de six cartes : l’as, le 2, le 3, le 4, le 5 et le 6. Le déroulement du tour est décrit en détail dans le schéma ci-dessous : (il s’agit d’une copie de la page 66 du livre).
Commentaires :
- Le schéma qui résume les étapes du tour est très réussi et évite beaucoup de complications.
- Les étapes 2 et 5 peuvent être permutées sans que le résultat final soit affecté car $3 \times 2 = 2 \times 3$.
Dans le même esprit :
L’auteur signale que le même tour peut être repris avec quinze cartes : de l’as au 10, d’une couleur et de l’as au 5 d’une autre couleur.
Tour 3 : Sept cartes pour une ruse tortueuse
Le maître du jeu dispose de sept cartes de dos identiques et quant à leurs faces, on en trouve quatre noires et trois rouges. Il propose à son partenaire qui est un Prince et qui possède 100 pièces d’or de parier la moitié de sa mise et de retourner une carte :
- Si elle est noire, le partenaire gagnera 50 pièces d’or.
- Si elle est rouge, il perdra 50 pièces d’or.
Bien qu’il ait remarqué qu’il a plus de chances de gagner que de perdre (4 contre 3), le Prince reste indécis. Le maître du jeu ajoute : ‘’N’ayez pas peur de perdre, cher Prince. Nous jouerons 7 fois et chaque carte sera retournée une fois. Vous pariez chaque fois la moitié de votre mise. Ainsi vous êtes sûre de gagner 4 fois et de ne perdre que 3 fois.’’
Le Prince accepte de jouer le jeu. A la fin, et bien qu’il ait gagné 4 fois, il n’a plus que 63 pièces et le maître du jeu s’est enrichi de 37 pièces.
Justification :
- Notons tout d’abord que l’ordre de tirage d’une carte rouge et d’une carte noire n’a pas d’influence sur le nombre de pièces en possession du Prince : désignons par $N$ le nombre de pièces en possession du Prince avant de retourner une carte alors si :
– Il tourne une noire puis une rouge, il aura : $(N +\frac{N}{2}) - \frac{1}{2}(N +\frac{N}{2}) = \frac{1}{2}(N +\frac{N}{2}) = \frac{3}{4} N$ pièces.
– Il tourne une rouge puis une noire, il aura : $(\frac{1}{2}N) + \frac{1}{2}(\frac{1}{2} N) = \frac{3}{4} N$ pièces. - Le problème d’ordre étant résolu alors toute situation revient à retourner successivement 4 cartes noires puis 3 cartes rouges et ainsi le Prince aurait dû faire ses calculs d’avance en se servant de la formule "magique" permettant de savoir combien il aura de pièces après le jeu : $[100 \times (\frac{3}{2})^4] \times (\frac{1}{2})^3$. Cela permet d’obtenir 63,281 25 $\simeq$ 63 pièces et par suite 37 pièces pour le maître du jeu pour qui ce jeu est toujours gagnant !
Commentaires :
On peut proposer l’ébauche du tableau ci-dessous comme illustration des étapes de ce tour. Le premier terme du couple de chaque cellule représente le nombre de pièces en possession du Prince et le deuxième terme indique le nombre de pièces en possession du maître du jeu.
Le tour le plus époustouflant de ce livre
Tour 1 : Le tour classique de 21 cartes
- Prends 21 cartes.
- Demande à un ami d’en choisir une sans te la montrer.
- Remets-la dans le jeu sans la voir et bats les cartes.
- Tiens ton paquet dans la main, face cachée, puis distribue les cartes une à une en 3 paquets, face tournée, sous les regards de ton ami.
- Demande-lui de t’indiquer le paquet qui contient sa carte.
- Superpose les 3 paquets de telle façon que celui qui contient la carte de ton ami soit au milieu.
- Reprends les cartes, faces cachées, et distribue-les de nouveau en 3 paquets puis empile-les comme précédemment.
- Reprends la même procédure pour la 3ème fois, tout en veillant à ce que :
– Le paquet qui contient la carte de ton ami soit au milieu ;
– Les cartes soient empilées dans ta main faces cachées ;
– Les cartes soient reparties en 3 paquets faces retournées. - Après la 3ème itération, prends le paquet des cartes, faces cachées, dans ta main
- Jette les dix premières cartes puis retourne la 11ème : c’est la carte de ton ami !
Tour 2 : Le tour de 27 cartes
Cette fois, nous avons besoin de 27 cartes. Ton ami doit choisir une carte sans la montrer, puis il la remet dans le paquet et il choisit aussi un nombre compris entre 1 et 27 qu’il te communique avant la fin du tour.
- Retranche 1 au nombre choisi par ton ami.
- Divise le résultat par 3, on notera $q_1$ et $r_1$ le quotient et le reste de cette division.
- Divise $q_1$ par 3, on notera $q_2$ et $r_2$ le quotient et le reste de cette division.
- Divise $q_2$ par 3, on notera $q_3$ et $r_3$ le quotient et le reste de cette division (tous ces calculs doivent se faire mentalement et rapidement sans que ton ami s’en rende compte).
- Retiens la suite des restes dans cet ordre : $r_1$, $r_2$ puis $r_3$ et que pour tout i $\in$ $\lbrace 1,2,3 \rbrace$ :
– Si ri = 0 alors c’est en bas ;
– Si ri = 1 alors c’est au milieu ;
– Si ri = 2 alors c’est en haut ; - Distribue les cartes en 3 piles exactement de la même façon que celle du tour précédent (de 21 cartes) et demande à ton ami de te renseigner sur la pile qui contient sa carte.
- Regroupe les 3 piles en un seul paquet, face cachée et tel que si $r_1$ = 0 (resp. 1 ou 2) tu mettras la pile qui contient la carte de ton ami en bas (resp. au milieu ou en haut) du paquet.
- Répète les 2 dernières étapes 2 fois de suite.
- Reprends le paquet, retourne-le, face cachée, distribue les cartes en les comptant. Lorsque tu arrives au nombre choisi par ton ami au début du jeu, retourne la carte : c’est bien la carte qu’il a choisie !
Exemple :
Ton ami a choisi le nombre est 12.
Comme 12−1 = 11, les restes sont successivement 2, 0 et 1.
Alors tu placeras la pile qui contient la carte de ton ami en haut après la première distribution, en bas après la deuxième distribution puis au milieu après la troisième distribution.
La mathémagie des pièces
L’auteur consacre cette rubrique à quelques tours qui se basent sur différentes versions du jeu de Nim. Ce jeu ne laisse rien au hasard et connaître son principe mathématique permet d’être sûr de gagner à chaque fois !
Tour 1 : La coupe ardente
Urgam et Griselda disposent de 13 coupes dont 12 sont remplies d’eau, la dernière, qui est métallique contient un liquide bouillant. A son tour, chacun peut boire au choix une, deux ou trois coupes d’eau et celui qui se trouve avec la coupe ardente doit boire le liquide brûlant jusqu’à sa dernière goutte.
L’astucieuse Griselda applique les deux règles suivantes :
- Elle laisse Urgam commencer.
- Si Urgam boit une coupe d’eau, elle en prend 3, s’il boit deux coupes, elle en prend 2 aussi et s’il boit trois coupes, elle n’en prend qu’une.
Grâce à cette stratégie, elle a toujours gagné.
Commentaire :
C’est la version soustractive d’un jeu de Nim à un seul tas de n pièces duquel on enlève un nombre de pièces compris entre 1 et k (k < n).
Tour 2 : La collection des pièces
Le jeu consiste à rassembler des pièces de différentes valeurs et à les aligner dans un ordre quelconque tout en plaçant aux extrémités les deux pièces de plus petite valeur.
Chacun de deux adversaires, à son tour, prend une pièce située à l’une de deux extrémités de la rangée (peu importe laquelle).
La partie continue tant qu’il y a des pièces. Celui qui rassemble la plus grande somme gagne la partie !
Astuce :
- Le nombre de pièces est pair :
– C’est à toi de commencer.
– Imagine que les pièces sont disposées alternativement pile puis face.
– Calcule le montant des pièces ‘’pile’’ et celui des pièces ‘’face’’.
– Saisis la pièce (extrême) du genre de celles qui correspondent à la plus grande somme.
– Ton adversaire choisira l’une parmi les deux pièces extrêmes (elles sont du même type, elles diffèrent par leur valeur.
– A ton tour, tu prendras toujours la pièce qui succède à celle qui était récupérée par ton adversaire ; ainsi tu seras sûr d’emporter la partie ! - Le nombre de pièces est impair :
– Laisse ton adversaire commencer : il prendra une pièce de faible valeur à l’une des extrémités.
– Il y a maintenant un nombre pair de pièces.
– Divise-les en pile et face et procède comme indiqué ci-dessus !
Commentaire :
Pour plus de détails sur les jeux de Nim et les stratégies gagnantes, voir l’article http://revue.sesamath.net/spip.php?... publié sur le n° 47 de MathémaTICE
Jeux de nombres
Tour 1 : le télépathe
Pour convaincre ses lecteurs de la puissance des nombres et de leur utilité, Kjartan Poskitt présente des tours où la terre va être attaquée par des habitants d’une autre planète. Les terrestres exploitent leur connaissance des propriétés des nombres pour éblouir leurs adversaires et leur faire croire qu’ils sont capables de tout découvrir.
Première partie
- Ecris un nombre à 3 chiffres distincts, le plus grand doit se trouver devant et le plus petit derrière.
- Ecris en dessous le même nombre mais en inversant ses chiffres : le plus petit doit se trouver devant et le plus grand derrière.
- Soustrais le nombre inférieur du nombre supérieur, écris la réponse en dessous.
- Tu ne peux pas nier que le résultat a un 9 pour chiffre du "milieu" ! Lis-moi le premier chiffre !
- C’est un 7 ! alors le résultat est 792.
Justification :
Notons $c, d$ et $u$ les chiffres de centaines, dizaines et unités du nombre de départ ($c > d > u$). On utilise un tableau pour représenter le calcul des différences qui s’effectue avec le recours à des retenues.
| c | d | u | |
| - | u | d | c |
| = |
| c | 10 + d | 10 + u | |
| - | 1 + u | 1 + d | c |
| = | c - u - 1 | 10 + d - 1 - d | 10 + u - c |
D’après ce tableau, la différence aura toujours pour :
* chiffre des dizaines : $10 + d - 1 - d = 9$ ;
* somme des chiffres des unités et des centaines : $c - u - 1 + 10 + u - c = 9$.
Ces deux résultats sont, en plus de la connaissance de son chiffre des unités ou des centaines, suffisants pour prédire la différence !
Deuxième partie :
- Inverse la réponse (la différence obtenue dans la première partie) et note le nouveau nombre en dessous de la différence déjà calculée.
- Additionne ces 2 nombres.
- Sans que tu me le dises, je sais que tu as eu 1 089 !
Notons $c’, d’$ et $u’$ les chiffres de centaines, dizaines et unités de la différence.
On a : $d’ = 9$ et $c’+u’ = 9$. En effet :
| c’ | 9 | u’ | ||
| + | u’ | 9 | c’ | |
| = | 1 | 0 | 8 | 9 |
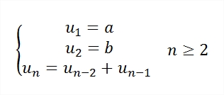
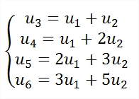
Tour 2 : Le tour de Fibonacci
- Dessine six cases les unes en-dessous des autres, puis une case un peu plus grande tout en bas. Les lettres nous servent à faciliter les explications uniquement.
- Demande à ton ami de donner deux nombres entiers compris entre 1 et 9 (on choisit des petits nombres, juste pour avoir des calculs simples, sinon on peut considérer n’importe quels nombres non nuls).
- Demande lui d’inscrire les nombres marqués sur les cartes dans les cases A et B.
- Additionner ces 2 nombres et noter la somme dans la case C.
- Additionner B et C et noter la somme dans la case D.
- Additionner C et D et noter la somme dans la case E.
- Donne lui un bout de papier plié sur lequel tu viens d’écrire un certain nombre et demande lui de le mettre dans sa poche sans y voir.
- Demande lui d’additionner D et E et de noter la somme dans la case F.
- Additionner les nombres inscrits dans les 6 cases et écrire la somme dans la case G.
- Fais lui sortir le bout de papier de sa poche et lire le nombre qui y est inscrit : ses yeux sont grands ouverts, il vient de lire la somme qu’il a inscrite dans la case G.
Astuce :
Comment peux-tu arriver à prédire la somme à partir du cinquième terme : la case E ?
Solution :
La somme de ces 6 nombres est égale 4 fois le nombre inscrit dans la case E.
Justification :
Ce tour est une application de la fameuse suite de Fibonacci définie par :
On désigne par $u_1, u_2, u_3, u_4, u_5$ et $u_6$ les nombres inscrits respectivement dans les cases A, B, C, D, E et F et par S le nombre inscrit dans la case G. Ainsi :
et $S = u_1 + u_2 + u_3 + u_4 + u_5 + u_6 = 8u_1 + 12u_2 = 4(2u_1 + 3u_2) = 4u_5$.
Le même tour en version géante :
Dans cette version, on a affaire à dix cases les unes en dessous des autres, puis une case un peu plus grande tout en bas :
- écrire dans les 2 premières cases deux nombres au choix ;
- prédire la somme de ces 10 nombres à partir du contenu de la 7ème case : c’est 11 fois le nombre écrit dans cette case ;
- écrire dans la dernière case la somme de ces 10 nombres et comparer avec la prédiction.
program Fibonacci6 ;
uses wincrt ;
var a,b,c :integer ;
S,P,i :integer ;
begin ;
write(‘Entrez a, a= ‘) ;
readln(a) ;
write(‘Entrez b, b= ‘) ;
readln(b) ;
c :=a+b ;
S :=a+b+c ;
writeln(c) ;
For i :=1 To 2 do
begin ;
a := b ;
b :=c ;
c :=a+b ;
S :=S+c ;
P :=4*c ;
writeln(c) ;
End ;
writeln(‘Prédiction : la somme de ces 6 nombres sera , P) ;
a := b ;
b :=c ;
c :=a+b ;
S :=S+c ;
writeln(c) ;
writeln(‘G = ‘,S) ;
End.
program Fibonacci10 ;
uses wincrt ;
var a,b,c :integer ;
S,P,i,j :integer ;
begin ;
write(‘Entrez a, a= ‘) ;
readln(a) ;
write(‘Entrez b, b= ‘) ;
readln(b) ;
c :=a+b ;
S :=a+b+c ;
writeln(c) ;
For i :=1 To 4 do
begin ;
a := b ;
b :=c ;
c :=a+b ;
S :=S+c ;
P :=11*c ;
writeln(c) ;
End ;
writeln(‘Prédiction : la somme de ces 6 nombres sera , P) ;
For j :=1 To 3 do
begin ;
a := b ;
b :=c ;
c :=a+b ;
S :=S+c ;
writeln(c) ;
writeln(‘K = ‘,S) ;
End.
Pour essayer :
a :
b :
Et pour la version géante, cliquer ici :
Tour 3 : Le diabolique nombre miroir
Un nombre miroir (ou un palindrome) est un nombre qui peut se lire aussi bien à l’endroit qu’à l’envers. Exemples : 55, 2 442, 1 670 761…
Pour transformer un nombre à deux chiffres en un nombre miroir :
- Inverse l’ordre de deux chiffres ;
- Additionne le nombre initial et celui que tu viens d’obtenir ;
- Recommence si c’est nécessaire tant que tu n’as pas obtenu un nombre miroir.
Exemple :
a) 62 $\Rightarrow$ 26 $\Rightarrow$ 88 qui est un nombre miroir.
b) 57 $\Rightarrow$ 75 $\Rightarrow$ 132 $\Rightarrow$ 231 $\Rightarrow$ 363 qui est un nombre miroir.
Commentaire :
Tous les nombres à deux chiffres finissent par donner un nombre miroir, la plupart d’entre eux apparaît rapidement, certains après cinq ou six additions. Il existe toutefois 2 nombres diaboliques qui mettent beaucoup plus de temps à se transformer : le 89 et le 98.
Avec un peu de chance
Il y a beaucoup de jeux où il faut tirer des cartes, lancer des dés ou des pièces. Si tu as de la chance, tu gagnes. Mais si tu connais un peu de mathémagie, tu peux avoir encore plus de chance !
Le dé pipé
Tu disposes des 4 dés spéciaux ci-dessous. La somme des nombres inscrits sur les faces de chacun d’eux est 24.
Demande à un ami de choisir un dé, tu l’imites et vous les lancez ensemble. Celui qui obtient le score le plus élevé gagne un centime.
De façon très surprenante, tu gagnes 2 fois plus que ton ami !
Astuce :
- Tu donneras toujours à ton ami la priorité de choisir un dé ;
- tu noteras le plus grand nombre marqué sur ce dé ;
- tu prendras celui dont le plus grand nombre marqué vient immédiatement après le plus grand nombre marqué sur le dé de ton ami, sauf s’il a le 8 tu choisiras le 5 !
Justification :
- S’il a choisi le 5 et tu as pris le 6 : tu gagneras si tu as un 6 et tu perdras si tu as un 0 quelque soit le résultat de ton ami donc :
-* S’il a choisi le 6 et tu as pris le 7 : tu gagneras si tu as un 7, ou un 1 et lui un 0 et tu perdras si tu as un 1 et lui un 6 donc :
- S’il a choisi le 7 et tu as pris le 8 : tu gagneras si tu as un 8, ou un 2 et lui un 1 et tu perdras si tu as un 2 et lui un 7 donc :
- S’il a choisi le 8 et tu as pris le 5 : tu gagneras s’il a un 2 et tu perdras s’il a un 8
donc :p(G) = $\frac{4}{6}$ et p(P) = $\frac{2}{6}$.
Quelle sorte de personne es-tu ?
Amuse-toi à faire ce test avec tes amis !
Tu dois transformer la date de naissance de la personne avec qui tu veux t’amuser en l’un des nombres magiques : 1, 2, 3, 4, 5, 6, 7, 8, 9, 11, 22.
Imaginons que cette personne est née le 15 Mai 2003 :
- Ecris cette date ainsi : 15/05/03 ;
- Additionne tous les chiffres : 1 + 5 + 0 + 5 + 0 + 3 = 14 ;
- Dans ce cas, tu dois continuer à additionner car 14 ne figure pas sur la liste des nombres magiques : 1 + 4 = 5 : c’est un nombre magique !
- Si tu tombes sur 11 ou 22, ne cherche pas à faire la somme de leurs chiffres car ils sont des nombres magiques ;
- Consulte la liste ci-dessous pour savoir le profil de la personne :
– 1 : autoritaire, impulsif et égocentrique.
– 2 : tendre, timide et profond.
– 3 : une bête de scène, enthousiaste et souvent agaçant.
– 4 ; travailleur infatigable et excellent organisateur.
– 5 : aventureux et impatient, il faut que tu aies tout essayé au moins une fois dans ta vie.
– 6 : propre, ordonné et peu flippant.
– 7 : un solitaire qui a toujours la tête dans les nuages.
– 8 : intéressé et sans scrupule.
– 9 : imagination débordante, mais élégance limitée (tu ne serais pas un peu hippy des fois).
– 11 : artiste inspiré, mais pas vraiment doué pour les choses pratiques. Autrement dit, légèrement farfelu.
– 22 : déterminé, pragmatique, ta mission est d’améliorer le monde !
La duchesse a perdu la tête
Cette rubrique est une occasion pour présenter certaines illusions.
Une case en trop
Comme le montre l’image ci-dessous, on part d’un carré 8 $\times$ 8 donc d’aire 64, on le découpe en quatre parties pour former un rectangle 13 $\times$ 5 donc d’aire 65 ! D’où vient cette unité d’aire en plus ?
Commentaire :
L’image ci-dessous montre bien qu’il y a un espace vide dans la région centrale du rectangle : c’est de là que vient la tromperie !
Pour plus d’explications, nous vous présentons l’animation suivante (dans le menu Affichage, fermer la fenêtre algèbre) :
<geogebra|doc=13225|fenetre_externe=yes|barre_menu=yes>
A télécharger :
Le chemin impossible
On a placé une pièce de monnaie dans la case du milieu d’une grille 5 $\times$ 3.
Peux-tu tracer un chemin qui traverse toutes les autres cases une fois
seulement ? Il est interdit de se déplacer d’une case à l’autre en diagonale et tu peux partir de n’importe quelle case.
Mais si on déplace la pièce d’une case ça deviendra possible !
Commence dans un coin, peu importe lequel, et demande-toi si tu peux rejoindre la pièce en passant uniquement par les diagonales :
- Si c’est possible alors il y a un chemin qui passe par toutes les cases ;
- Sinon, la tâche sera impossible.
Tableau 1 : c’est impossible !
Tableau 2 : c’est possible !
Tableau 3 : c’est possible !
Ultime divertissement
Voici le défi :
Peux-tu déplacer le joker au milieu tout en conservant la disposition des autres cartes ?
- Tu peux déplacer une carte à la fois pour lui faire occuper un espace vide.
- Il est interdit de passer par-dessus une autre carte.
- Il est interdit de se déplacer en diagonale.
- Pour commencer, tu peux déplacer seulement les 4 cartes : l’as, le 7, le 5 ou le 3
vers la case du milieu.
Astuce :
Actuellement, les cartes sont disposées dans l’ordre croissant en tournant dans le sens des aiguilles d’une montre. Pour gagner le défi, essaie de les disposer dans l’ordre croissant en tournant dans le sens inverse des aiguilles d’une montre.
Conclusion
Ce livre pourrait intéresser des personnes appartenant à une tranche d’âge beaucoup plus large que celle prévue (9-13 ans). En effet, parmi les ‘’tours de magie’’ qui y sont proposés, beaucoup peuvent faire l’objet d’une bonne application de certaines notions mathématiques étudiées à des niveaux plus avancés (lycée ou même plus). C’est dans ce cadre que s’instaure l’ajout, dans cette recension, de certains points théoriques qui dépassent le niveau cognitif du public à qui, en principe, ce livre s’adresse. Nous y révelons un certain nombre d’astuces, ce qui en démystifie la "magie" mais le lecteur peut être rassuré, nous sommes loin d’avoir parlé de tous les tours du livre et il reste encore bien d’autres occasions d’être étonné et de se creuser la tête à la lecture de "C’est math’gic !"
.





























